位置: 网站首页 > 信息公开 > 正文

伊春职业学院2022年部门预算

发表于: 2022-03-01 点击:

 

 

 

 

 

 

伊春职业学院

2022部门预算

 

 

 

 

 

 

 

 

 

    

第一部分 伊春职业学院概况

一、部门职责

部门机构设置

部门人员构成

部门预算构成

第二部分 伊春职业学院2022部门预算报表

一、收支总表

二、收入总表

三、支出总表

四、财政拨款收支总表

五、一般公共预算支出表

六、一般公共预算基本支出表

、一般公共预算三公经费支出表

八、政府性基金预算支出表

项目支出表

十、项目支出绩效表

十一、部门整体支出绩效目标表

十二、国有资本经营预算支出表

第三部分 伊春职业学院2022部门预算情况说明

第四部分 名词解释

 

第一部分    伊春职业学院概况

 

一、部门职责

伊春职业学院隶属于伊春市政府,主要职责国家教育部批准成立的一所工、林、理、经、管、文、法、艺、师兼容的全日制普通高校。主要培养高职高师专业的应用型人才。为区域职业教育和社会经济发展服务。

 

部门机构设置

本部门有内设机构23个,分别为:党政办公室(加挂发展规划处牌子)、组织部、宣传统战部、纪检委(加挂监察审计处牌子)、工会、学生工作部(加挂学生处、团委牌子)、教务处(加挂大学生创新创业办公室牌子)、计财处、人事处、后勤管理处、招生就业处、高教研究室 (加挂督学办牌子)、公共教学部、师范学院、医学技术学院、工程应用技术学院、计算机应用技术学院、旅游商务学院、继续教育学院、思想政治教学部、图书馆、保卫处、生活管理中中心。

 

部门人员构成

伊春职业学院编制总数为460个,其中:行政编制0个,事业编制460个。实有人员410人,其中:在职人员408人,退休人员2人。与上年预算相比实有人数增加12人,其中:在职人数增加29人,离退休人数增加15人。调出2人。

四、部门预算构成

本部门无预算单位,部门预算中仅包含部门本级预算

 

第二部分    伊春职业学院2022部门预算公开报表

 

一、收支总表

二、收入总表

三、支出总表

四、财政拨款收支总表

五、一般公共预算支出表

六、一般公共预算基本支出表

、一般公共预算三公经费支出表

八、政府性基金预算支出表

项目支出表

十、项目支出绩效表

十一、部门整体支出绩效目标表

十二、国有资本经营预算支出表

 


 

 

 

 

 

 

 

 

 

 

 

 

 

 

 

 

 

 

 

 

 

 

 

 

 

 

 

 

 

 

 

 

 

 

 

 

 

 

 

 

 

 


 

 

 

 

 

 

 

 

 

 

 

 

 

 

 

 

 

 

 

 

 

 

 

 

 

 

 

 

 

 

 

 

 

 

 

 

 

 

 

 

 

 

 

 

 

 

 

 

 

 

 

 

 

 

 

 

 

 

 

 

 

 

 

 

 

 

 

 

 

 

 

 

 

 

 

 

 

 

 

 

 

 

 

 

 

 

 

 

 

 

 

 

 

 

 

 

 

 

 

 

 

 

 

 

 

 

 

 

 

 

 

 

 

 

 

 

 

 

 

 

 

 

 

 

 

 

 

 

 

 

 

 

 

 

 

 

 

 

 

 

 

 

 

 

 

 

 

 

 

 

 

 

 

 

 

 

 

 

 

 

 

 

 

 

 

  

 

 

 

 

    

 

 


第三部分    伊春职业学院2022部门预算情况说明

 

一、关于收支总表的说明

按照综合预算的原则,伊春职业学院所有收入和支出均纳入部门预算管理。2022年,伊春职业学院入总预算10068.99万元包括:一般公共预算拨款收入、财政专户管理资金收入上年预算增加282.81万元,主要原因是财政专户管理资金收入有所增加总预算10068.99万元,包括:教育支出、社会保障和就业支出、卫生健康支出、住房保障支出。上年预算增加282.81万元,主要原因是财政专户管理资金支出有所增加

二、关于收入总表的说明

2022年,伊春职业学院收入预算10068.99万元,其中:一般公共预算收入7367.49万元,占73.17%;财政专户管理资金收入2701.5万元,占26.83%

三、关于支出总表的说明

2022年,伊春职业学院支出预算10068.99万元,其中:基本支出7924.14万元,占78.7%;项目支出2144.85万元,占21.3%

四、关于财政拨款收支总表的说明

2022年,伊春职业学院财政拨款收入预算7367.49万元,其中,一般公共预算拨款7367.49万元,其中,教育支出5162.07万元,社会保障和就业支出1305.14万元,卫生健康支出474.61万元,住房保障支出425.67万元。上年预算减少795.36万元,主要原因是上年预算中有2020年结转的专项资金691.53万元。

 

五、关于一般公共预算支出表的说明

2022年,伊春职业学院一般公共预算支出7367.49万元,其中:基本支出7271.38万元,项目支出96.11万元

1职业教育5065.96万元,比上年预算减少786.91万元,主要原因是上年预算中有2020年结转的专项资金691.53万元。

2行政事业单位养老支出1305.14万元,比上年预算减少39.52万元,主要是基本养老保险缴费基数有所减少

3行政事业单位医疗474.61万元。比上年预算减少55.4万元,主要原因是基本医疗保险基数及工伤保险比率下降导致有所减少。

4、住房保障支出425.67万元。比上年预算减少9.64万元,主要原因是在职人员工资总额有所减少。

六、关于一般公共预算基本支出表的说明

2022年,伊春职业学院一般公共预算基本支出7271.38万元,其中:人员经费6372.74万元,公用经费898.64万元

1、工资福利支出5529.99万元。其中基本工资 2220.96万元,比上年预算增加163.75万元,主要原因是本年该项科目含有普调工资180.48万元。上年不含此项目。津贴补贴1540.63万元,比上年预算减少37.58万元,主要原因是在职人员工资有所减少奖金292.12万元,比上年预算减少4.4万元。机关事业单位基本养老保险缴费567.56万元,比上年预算减少37.04万元,主要原因是在职人员工资有所减少职业年金缴费102.12万元,比上年预算基本持平。职工基本医疗保险缴费239.65万元,比上年预算减少142.15万元,主要原因是本年度不含退休人员基本医疗保险缴费。公务员医疗补助缴费70.95万元,比上年预算减少49.06万元,主要原因是本年度不含退休人员公务员医疗保险缴费。其他社会保障缴费70.33万元,比上年预算减少11.25万元,主要原因是本年度不含退休人员工伤医疗保险缴费。住房公积金425.67万元,比上年预算减少9.64万元,主要原因是在职人员工资有所减少

2、商品服务支出898.64万元。与上年预算相比减少51.3万元。主要原因是办公费11.45万元。比上年预算减少4.94万元;水电费14.56万元。比上年预算减少4.99万元;邮电费17.31万元。比上年预算减少5.95万元;差旅费56.08万元。比上年预算减少31.56万元;培训费41.28万元。比上年预算减少12.09万元;以上减少主要是因为提倡节约,压缩办公经费所致。福利费35.7万元。与上年预算相比增加35.7万元。与上年预算相比减少其他交通费用42.36万元。主要原因是预算科目调整所致。劳务费153.12万元,与上年预算相比增加26.4万元,主要是因为劳务费标准提高所致。

3、对个人家庭补助支出842.75万元。与上年预算相比182.12万元。其中离休费31.06万元,比上年预算减少12.54万元。主要是离休人员减少1人。医疗费补助202.75万元,比上年预算增加202.75万元,主要是将退休人员医疗保险调整经济分类科目所致。

、关于一般公共预算三公经费支出表的说明

2022年,伊春职业学院一般公共预算三公经费支出6.5万元,其中:因公出国(境)费0万元,公务用车购置费0万元,公务用车运行维护6万元,公务接待费0.5万元。上年预算持平

(一)因公出国(境)费0万元

(二)公务接待费。2022年预算安排0.5万元,上年预算持平。

(三)公务用车购置及运行费。2022年预算安排6万元,上年预算持平。其中:公务用车运行维护6万元,上年预算保持不变。

、关于政府性基金预算支出表的说明

本部门没有使用政府性基金预算拨款安排的支出。

、机关运行经费情况说明

本部门为事业单位,无机关运行经费。

十、关于政府采购预算情况说明

2022年,伊春职业学院采购预算总额824.83万元,其中:货物预算601.3万元、工程预算118.69万元、服务预算104.84万元。

、关于国有资产占有使用情况说明

截止2021伊春职业学院房屋92815.41平方米车辆5台,单价50万元(含)以上设备0台。

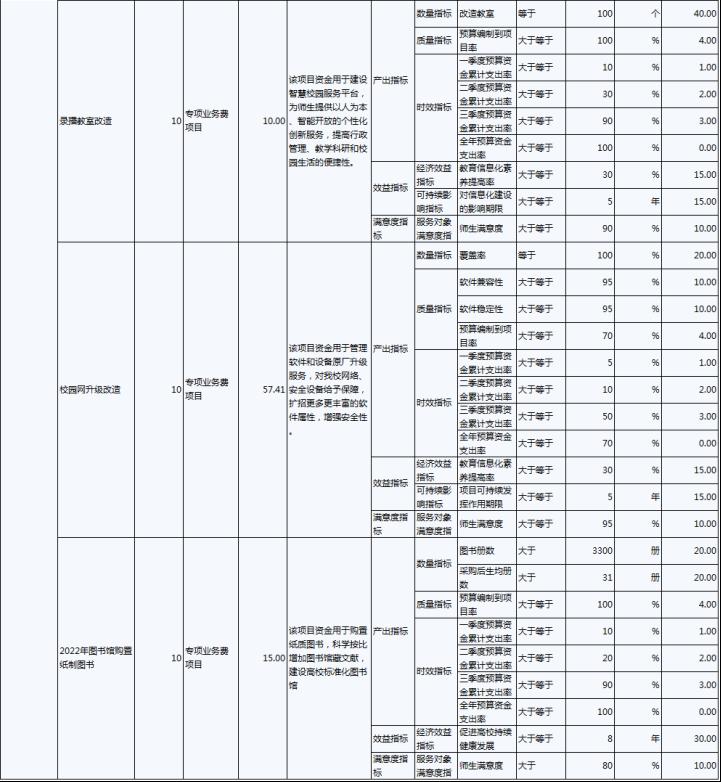
十二、关于项目支出绩效目标的说明

2022年,伊春职业学院实行绩效目标管理的项目51个,涉及预算金额2144.85万元。

十三、关于部门整体支出绩效目标的说明

2022年,伊春职业学院年度绩效目标为:优先保障“保工资、保运转、保民生”基本保障支出需要;加大校园环境建设及教育教学设施的投入,努力改善办学条件;建立全员、全程、全方位招生工作机制;.推进“1+X”证书试点建设工作,全面推动试点工作落地。完成实训室改造、1+X”证书试点建设、招生就业工作30项重点工作,主要绩效指标及指标值情况为年度人员、公用及项目经费支出率大于等于90%;获得“1+X”证书学生人数大于等于800人;人员及公用经费预算控制率大于等于90%;学校实训室建设达到建设要求的比率等于100%;学生就业率大于等于70%;深化教育改革提升教学质量有所提高;教职工满意度大于等于85%;学生满意度大于等于85%;社会满意度大于等于85%

十四、关于国有资本经营预算支出表的说明

本部门没有使用国有资本经营预算算拨款安排的支出。

 

第四部分   名词解释

1、财政拨款收入:本级财政部门当年拨付的财政预算资金,主要是公共预算财政拨款。

2、财政专户资金:指行政事业单位按照省物价部门和财政部门批准的收费许可证收取的缴入财政专户的行政事业性收费。

3、高等职业教育:反映经国家批准设立的高等职业大学、专科职业教育等方面的支出。

4、社会保障和就业支出(类)行政事业单位离退休(款):反映用于行政事业单位离退休方面的支出。

5、工资福利支出:反映单位开支的在职职工和编制外长期聘用人员的各类劳动报酬,以及为上述人员缴纳的各项社会保险费等。

6、商品服务支出:反映单位购买商品和服务的支出,不包括用于购置固定资产、战略性和应急性物资储备等资本性支出。

7、对个人和家庭补助支出:反映政府用于对个人和家庭的补助支出。

8、“三公”经费:纳入财政管理的“三公”经费,是指各部门用财政拨款安排的因公出国费、公务用车购置及运行维护费和公务接待费。

9绩效目标:是预算绩效管理对象计划在一定期限内达到的产出和效果,包括产出指标、效益指标和服务对象满意度指标,是绩效行监控、绩效自评价、部门评价、财政评价等预算绩效管理工作的前提和基础。